C#, LaTeX, AutoCAD, базы данных

Денис salnik

Рейтинг: 135
не верифицирован
Всего отзывов: 2 0
Выполнил заданий: 5
  • Активность:
  • Работ в портфолио: 25
  • Типовых услуг: 0
  • Работ на продажу: 0
  • Зарегистрирован: 17.08.2015
Был на сайте:

Верстка текста в LaTeX

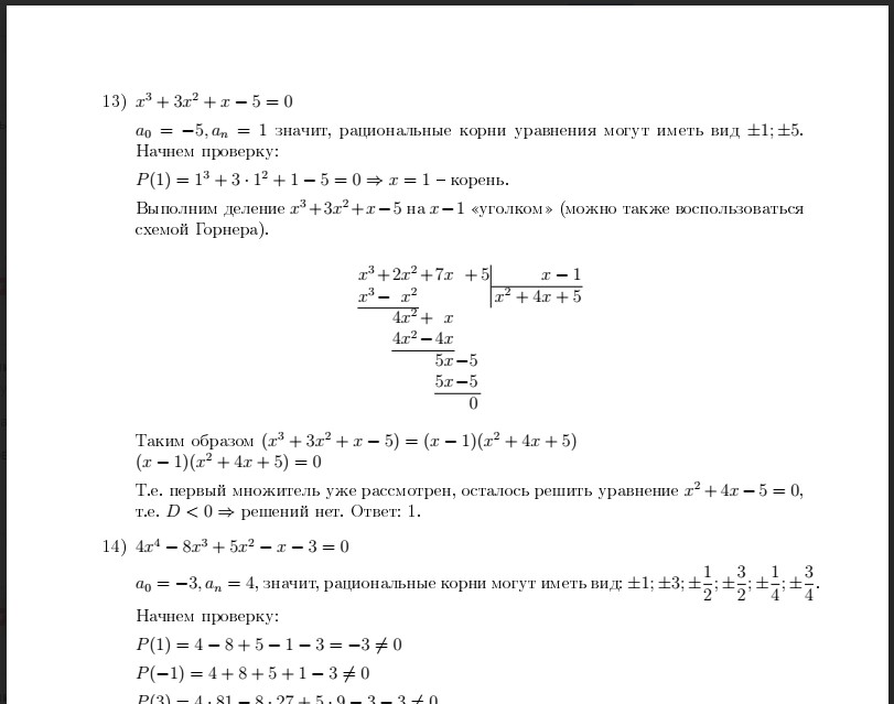
Используемые навыки:

Описание

Перегон сканированных листов в формат *.pdf на LaTeX

Презентация проекта

pic2496916.jpg

Оценили проект:

0