Рейтинг: 45
не верифицирован
Всего отзывов: 0
  • Работ в портфолио: 5
  • Типовых услуг: 0
  • Работ на продажу: 0
  • Зарегистрирован: 13.02.2024
Был на сайте:

Онлайн-сервис «Поиск ментора»

Описание

Используемые инструменты:
SQL (PostgreSQL), Python (SQLAlchemy, Pandas, NumPy, Matplotib, Seaborn, SciPy, Scikit-Learn).

Ситуация:
Вы работаете аналитиком в онлайн-сервисе “Поиск ментора”. Это сервис, который помогает менторам и менти найти друг друга.
Встречи проходят на площадке сервиса. Назначить встречу можно в личном кабинете после авторизации на сайте.
Продакт-менеджер начал подготовку к новому этапу развития приложения и попросил вас собрать данные о работе сервиса.

Задача:
Изучите данные и подготовьте ответы на вопросы продакт-менеджера.
Определите точки роста.
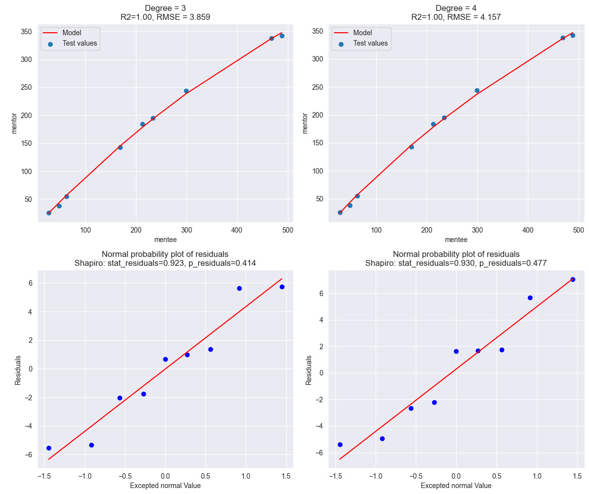
Спрогнозируйте, сколько новых менторов нужно найти, если в следующие 2 недели количество активных менти увеличится на 250 человек. Объясните результат и ваше решение.

Действия:
для каждого вопроса написаны запросы на SQL;
для полученных данных построены визуализации;
для части вопросов проведен корреляционный анализ;
определена потребность в найме менторов.

Результат:
Результат представлен в виде файла Jupyter Notebook.
На основе проведенного анализа даны рекомендации для дальнейшего развития сервиса.
Также определена минимальная потребность в найме менторов на следующие 2 недели при условии увеличения активных менти.

Ссылки на примеры реализации

 github.com/chernovoldv/portfolio/blob/main/mentor_...

Презентация проекта

pic4547314.jpg

Оценили проект:

0