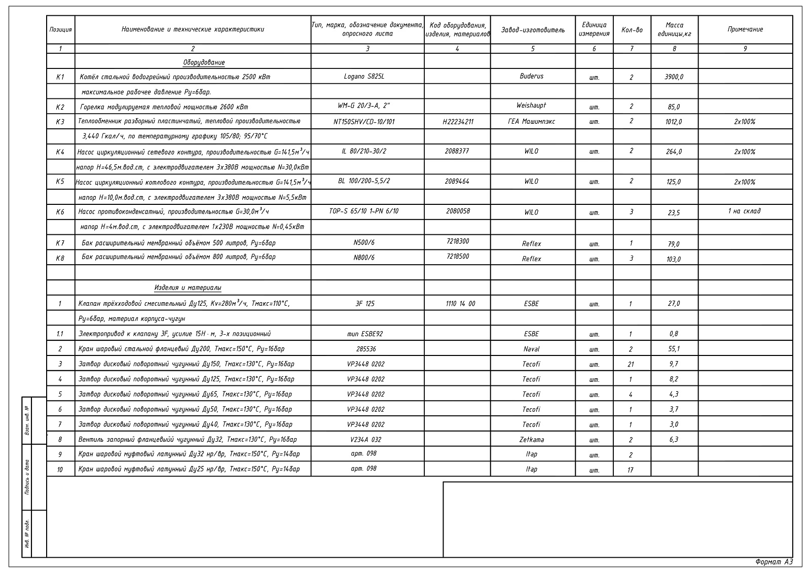
Пример спецификации котельной
Для полной функциональности этого сайта необходимо включить JavaScript.
Новосибирск
На сайте с: 22.08.2017
Лаврентий Кияница
lavrentij
Рейтинг: 72
не верифицирован
Всего отзывов:
0
Работ в портфолио:
22
Типовых услуг:
0
Работ на продажу:
0
Был на сайте:
2017-11-23 в 07:22
+79030493185
inbox
Вконтакте
Предложить работу
Добавить в избранное
Добавить рекомендацию
Пожаловаться
Инженерия
108
0
Пример спецификации котельной
Используемые навыки:
Теплоснабжение/Отопление/Вентиляция
Описание
Решение
Результат
Соавторы
Презентация проекта
Примеры реализации
Описание
Презентация проекта
Оценили проект:
0
×
Оценили проект
×
Авторизация
Для того чтобы оценивать проекты, вам нужно войти на сайт
Другие проекты
Все проекты
План трубопроводов. Твердотопливная котельная
Узел совместного приготовления воды для отопления и ГВС
Чертеж трубопроводной обвязки в составе проекта ТМ
FREELANCE.RU
Toggle navigation
Нанять фрилансера
Заказчику
Найти по специализации
Найти по услугам
Провести конкурс
Разместить задание
Виртуальный HR
Другое
Найти работу
Фрилансеру
Найти задание
Присоединиться к команде
Участвовать в конкурсе
Другое
Возможности
Для заказчика
Для фрилансера
Вход
Разместить задание
▲