Деловое письмо на английском языке
Для полной функциональности этого сайта необходимо включить JavaScript.
Москва
Максим Чернавин
MaximChernavin
Рейтинг: 88
не верифицирован
Всего отзывов:
0
Работ в портфолио:
18
Типовых услуг:
0
Работ на продажу:
0
Возраст:
48 лет
Зарегистрирован:
20.07.2011
Был на сайте:
2019-12-19 в 21:57
+7(916)374-19-10
inbox
maxim.chernavin@hotmail.com
Предложить работу
Добавить в избранное
Добавить рекомендацию
Пожаловаться
Тексты
82
0
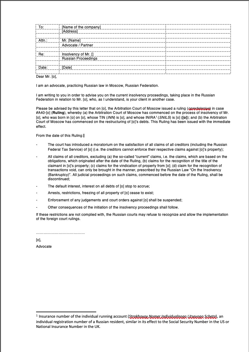
Деловое письмо на английском языке
Используемые навыки:
Деловая переписка
Описание
Решение
Результат
Соавторы
Презентация проекта
Примеры реализации
Описание
Презентация проекта
Оценили проект:
0
×
Оценили проект
×
Авторизация
Для того чтобы оценивать проекты, вам нужно войти на сайт
Другие проекты
Все проекты
Юридическое письмо на английском языке
Деловое Письмо 1
Перевод юридического заключения
FREELANCE.RU
Toggle navigation
Нанять фрилансера
Заказчику
Найти по специализации
Найти по услугам
Провести конкурс
Разместить задание
Виртуальный HR
Найти студию
Другое
Найти работу
Фрилансеру
Найти задание
Присоединиться к команде
Участвовать в конкурсе
Предложить услугу
Другое
Возможности
Для заказчика
Для фрилансера
Вход
Разместить задание
▲