Решение задач по предмету Векторная алгебра
Для полной функциональности этого сайта необходимо включить JavaScript.
Саранск
32 года
На сайте с: 19.03.2014
Дмитрий Рожаев
Dmitry1993
Рейтинг: 184
не верифицирован
Всего отзывов:
6
0
Выполнил заданий:
6
Активность:
Работ в портфолио:
34
Типовых услуг:
0
Работ на продажу:
0
Был на сайте:
2024-08-19 в 11:37
inbox
dmitry.rozhaev@gmail.com
Предложить работу
Добавить в избранное
Добавить рекомендацию
Пожаловаться
Обучение и Образование
337
0
Решение задач по предмету Векторная алгебра
Используемые навыки:
Точные науки
Описание
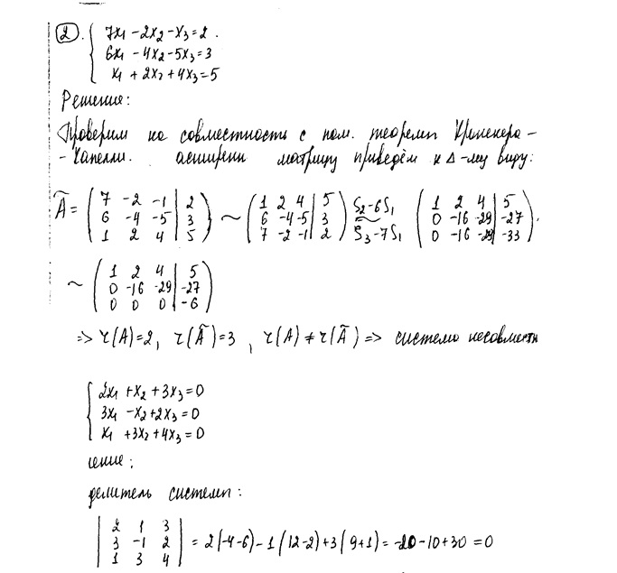
Решение
Результат
Соавторы
Презентация проекта
Примеры реализации
Описание
Презентация проекта
Оценили проект:
0
×
Оценили проект
×
Авторизация
Для того чтобы оценивать проекты, вам нужно войти на сайт
Другие проекты
Все проекты
Программа детектирования сотрудников и определения их эмоций
Автоматизированная информационная система мониторинга "АИС"
SphereGenerator3D. Моделирование плотных упаковок шаров
FREELANCE.RU
Toggle navigation
Нанять фрилансера
Заказчику
Найти по специализации
Найти по услугам
Провести конкурс
Разместить задание
Другое
Найти работу
Фрилансеру
Найти задание
Присоединиться к команде
Участвовать в конкурсе
Другое
Возможности
Для заказчика
Для фрилансера
Вход
Разместить задание
▲