Пришёл, увидел, оценил - сделал

Sergey veduk

Рейтинг: 116
не верифицирован
Всего отзывов: 0
Опубликовал заданий: 16
  • Активность:
  • Работ в портфолио: 6
  • Типовых услуг: 0
  • Работ на продажу: 0
Был на сайте:

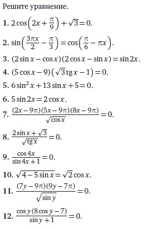
Решение контрольных по математике

Используемые навыки:

Описание

Решение школьной математики и 1-2 курсов ВУЗа

Презентация проекта

pic3015940.jpg

Оценили проект:

0