Рейтинг: 66
не верифицирован
Всего отзывов: 0
  • Работ в портфолио: 6
  • Типовых услуг: 7
  • Работ на продажу: 0
Был на сайте:

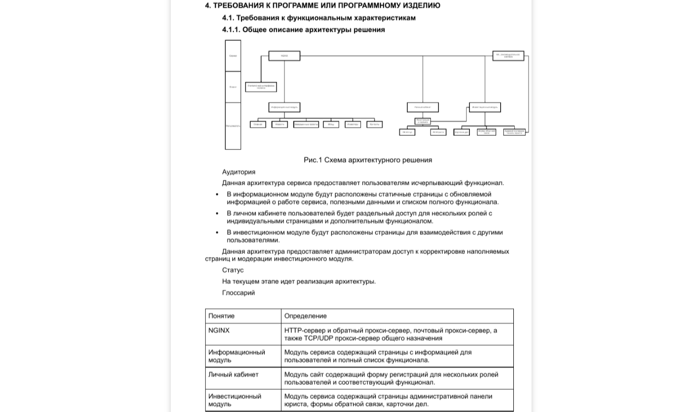
ТЗ, ГОСТ 19, Сервис подбора исполнителей для ведения судебных процессов на основе технологий машинного обучения

Описание

Необходимо было подготовить документацию для команды разработки, которая будет заниматься проектом на тендерной основе, что требовало оформление по ГОСТ.

Решение

Было проведено несколько итераций созвонов, по результатам общения и предоставленным данным: дизайн-макеты, информация от разработчиков. Была создана документация, которая соответствовала ГОСТ-19. Техническое задание, по которому в дальнейшем велась работа.

Результат

Готовый к работе документ, который был согласован и по которому велась разработка продукта.

Презентация проекта

2025-03-24_11-41-18.png
2025-03-24_11-41-49.png
2025-03-24_11-42-18.png

Оценили проект:

0