Рейтинг: 20
не верифицирован
Всего отзывов: 0
  • Работ в портфолио: 0
  • Типовых услуг: 3
  • Работ на продажу: 0
Был на сайте:

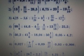
Репетитор по математике

500 руб
сделаю за 1 день

29

Репетитор по математике, для учащихся русскоязычной школы с 1 по 11 классы. Имеется большой опыт работы с учениками общеобразовательной школы, НИШ, КТЛ и РФМШ. Грамотное, и индивидуальное обучение. Возможен онлайн обучение по SKYPE, выезд по Астане. Восполнение пробелов, подготовка к олимпиадам, для поступления в НИШ, КТЛ, РФМШ. Подготовка к ВОУД, ЕНТ, КТА по математической грамотности, логическому мышлению, алгебре, геометрии.

Репетитор по математике
Заказать услугу

Вернуться в каталог