Рейтинг: 100
не верифицирован
Всего отзывов: 3 0
  • Работ в портфолио: 30
  • Типовых услуг: 0
  • Работ на продажу: 0
  • Возраст: 54 года
  • Зарегистрирован: 10.01.2009
Была на сайте:

Репозиционирование. HORECA

Используемые навыки:

Описание

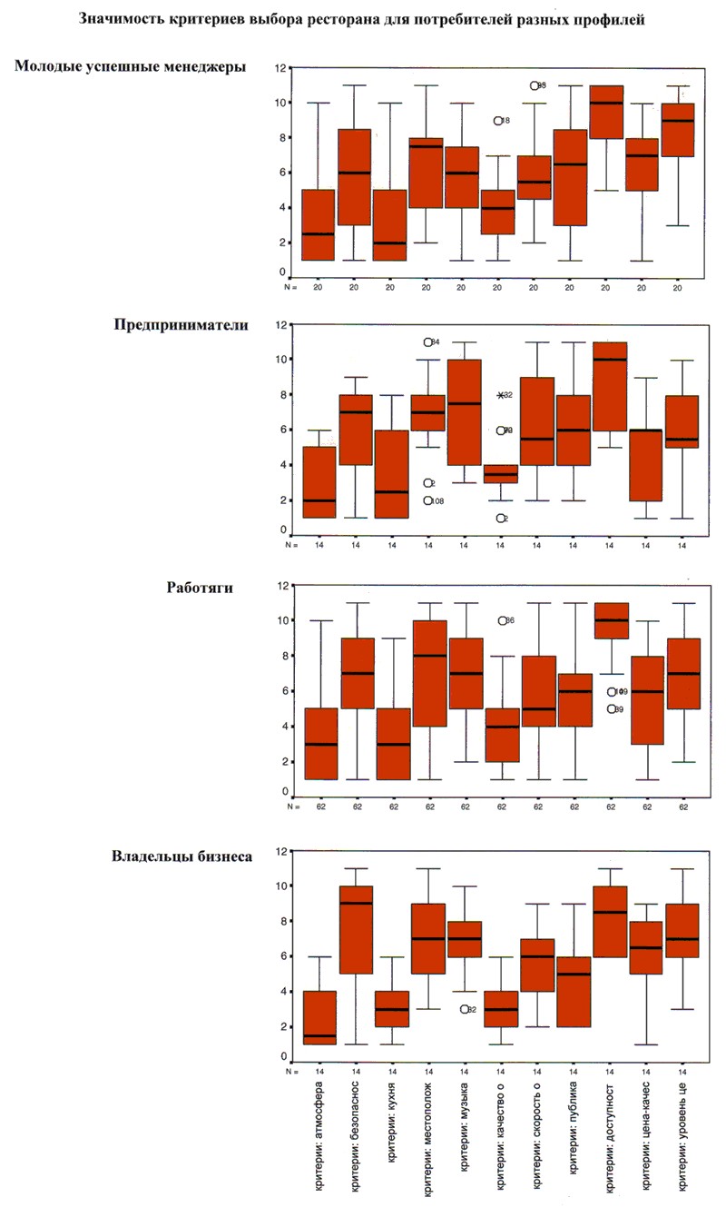
Исследование потребителей на рынке ресторанных услуг. Программа, проведение, анализ, отчёт. Результат: отчёт 54 страницы без приложений, таблицы (25), рисунки (38), приложения (14).

Презентация проекта

pic348734.jpg

Оценили проект:

0