Рейтинг: 101
не верифицирован
Всего отзывов: 0
  • Работ в портфолио: 41
  • Типовых услуг: 0
  • Работ на продажу: 0
Была на сайте:

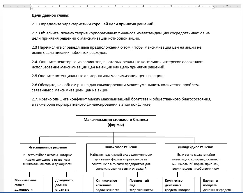
Перевод учебника "Прикладное корпоративное финансирование" чст.

Используемые навыки:

Описание

Частичный перевод учебника А. Дамодарана "Прикладное корпоративное финансирование" (Applied Corporate Finance), USA

Ссылки на примеры реализации

 www.ozon.ru/context/detail/id/5246559/

Презентация проекта

pic2666413.jpg

Оценили проект:

0