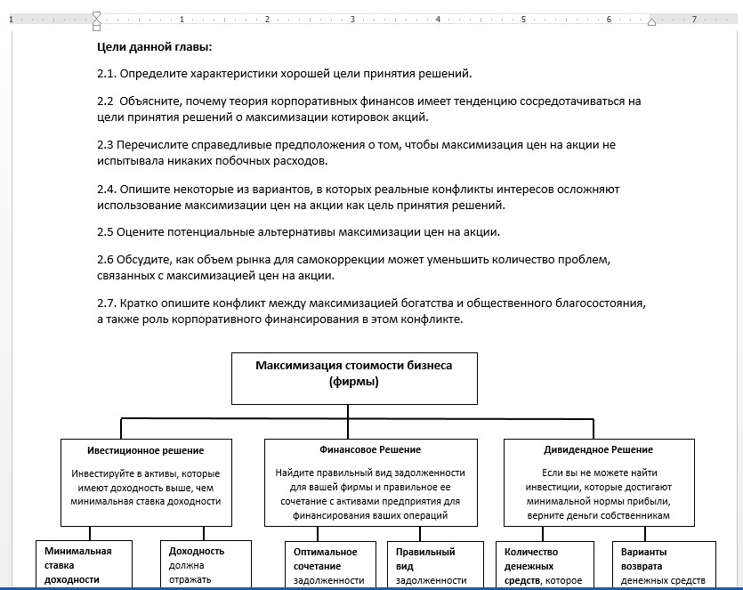
Перевод учебника "Прикладное корпоративное финансирование
Для полной функциональности этого сайта необходимо включить JavaScript.
Москва
30 лет
На сайте с: 02.02.2016
Елизавета Жернова
elizaveta_zhernova
Рейтинг: 101
не верифицирован
Всего отзывов:
0
Работ в портфолио:
41
Типовых услуг:
0
Работ на продажу:
0
Была на сайте:
2019-08-22 в 22:30
Предложить работу
Добавить в избранное
Добавить рекомендацию
Пожаловаться
Переводы
23
0
Перевод учебника "Прикладное корпоративное финансирование
Используемые навыки:
Художественные переводы
Описание
Решение
Результат
Соавторы
Презентация проекта
Примеры реализации
Описание
Презентация проекта
Оценили проект:
0
×
Оценили проект
×
Авторизация
Для того чтобы оценивать проекты, вам нужно войти на сайт
Другие проекты
Все проекты
Перевод текста (тема: путешествия)
Перевод текста (тема: спорт)
Перевод статьи по рукоделию (6)
FREELANCE.RU
Toggle navigation
Нанять фрилансера
Заказчику
Найти по специализации
Найти по услугам
Провести конкурс
Разместить задание
Другое
Найти работу
Фрилансеру
Найти задание
Присоединиться к команде
Участвовать в конкурсе
Другое
Возможности
Для заказчика
Для фрилансера
Вход
Разместить задание
▲